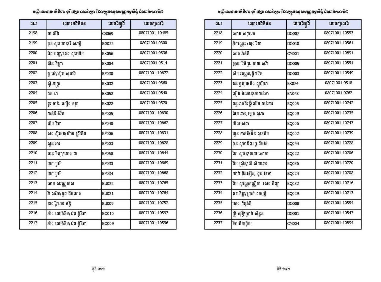
ក្រសួងរៀបចំដែនដី នគរូបនីយកម្ម និងសំណង់ នៅថ្ងៃទី២១ ខែវិច្ឆិកា ឆ្នាំ២០២៥ បានចេញសេចក្តីប្រកាសព័ត៌មានអញ្ជើញអតិថិជនរបស់ គម្រោងផ្ទះនិងដីឡូត៍ ឡេង ណាវ៉ាត្រា ជ្រែមួយរយ និងគម្រោងផ្លូវជាតិលេខ៦អា ដែលមានទីតាំងស្ថិតនៅភូមិជ្រែមួយរយ និងភូមិអន្លង់ស្លែង ឃុំសំបួរមាស ស្រុកមុខកំពូល ខេត្តកណ្តាល ទៅបន្តនីតិវិធីចុះបញ្ជីផ្ទេរកម្មសិទ្ធិ និងទទួលវិញ្ញាបនបត្រសម្គាល់ម្ចាស់អចលនវត្ថុ ដំណាក់កាលទី៣ ចំនួន ២៤៦៣បណ្ណ ចាប់ពីថ្ងៃទី២៧ ដល់ថ្ងៃទី២៩ ខែវិឆ្ឆិកា ឆ្នាំ២០២៥ រៀងរាល់ម៉ោងធ្វើការ នៅទីស្តីការក្រសួង។

ក្នុងដំណាក់កាលទី៣នេះ ក្រសួងនឹង ១.អនុវត្តនីតិវិធីចុះបញ្ជីផ្ទេរកម្មសិទ្ធិនិងប្រគល់វិញ្ញាបនបត្រសម្គាល់ម្ចាស់អចលនវត្ថុ ដំណាក់កាលទី៣ ចំនួន ២ ៤៦៣បណ្ណ ជូនអតិថិជនរបស់គម្រោងផ្ទះនិងដីឡូត៍ ឡេង ណាវ៉ាត្រា ជ្រែមួយរយ និងគម្រោងផ្លូវជាតិលេខ៦អា ដូចមានឈ្មោះក្នុងបញ្ជីជូនភ្ជាប់មកជាមួយ។ ២.បន្តអនុវត្តនីតិវិធីទទួលពាក្យស្នើសុំផ្ទេរកម្មសិទ្ធិពីអតិថិជនដែលបានបង់ប្រាក់ថ្លៃលក់ទិញដីឡូត៍និង/ឬផ្ទះគ្រប់ចំនួន ១០០% ដោយភ្ជាប់មកជាមួយនូវឯកសារ ដូចជា៖ កិច្ចសន្យាលក់ទិញដីឡូត៍និង/ឬផ្ទះ (ច្បាប់ដើម), វិក្កយបត្របង់ប្រាក់ឬឯកសារបញ្ជាក់ពីការបង់ប្រាក់ (ច្បាប់ដើម) និងឯកសារពាក់ព័ន្ធនឹងការស្នើសុំចុះបញ្ជីផ្ទេរកម្មសិទ្ធិ។
ទទឹមនឹងនេះ ក្រសួងក៏សូមអញ្ជើញ លោក លោកស្រី ដែលជាអតិថិជនរបស់គម្រោងផ្ទះនិងដីឡូត៍ ឡេង ណាវ៉ាត្រា ជ្រែមួយរយ និងគម្រោងផ្លូវជាតិលេខ៦អា ដែលមានឈ្មោះក្នុងបញ្ជីជូនភ្ជាប់មកជាមួយ ចូលរួមកម្មវិធីសំណេះសំណាល និងចែកបណ្ណកម្មសិទ្ធិ នៅថ្ងៃទី២៧ ខែវិច្ឆិកា ឆ្នាំ២០២៥ វេលាម៉ោង ៧:៣០នាទីព្រឹក នៅសាលសន្និបាត២០២១ ជាន់ទី២ នាទីស្តីការក្រសួង ដ.ន.ស. ក្រោមអធិបតីភាព ឯកឧត្តម សាយ សំអាល់ ឧបនាយករដ្ឋមន្ត្រី រដ្ឋមន្ត្រីក្រសួងរៀបចំដែនដី នគរូបនីយកម្ម និងសំណង់។
សូមជម្រាបថា នៅលើបណ្តាញសង្គមផ្លូវការ អ្នកឧកញ៉ា ឡេង ណាវ៉ាត្រា តែងបន្តផ្សព្វផ្សាយសកម្មភាពអតិថិជនមកពិភាក្សាជាមួយក្រុមការងារបុរី ដើម្បីស្វែងរកដំណោះស្រាយជាប្រចាំ។ ជាក់ស្តែងនៅថ្ងៃចន្ទ ទី២៤ ខែវិច្ឆិកា អតិថិជនគម្រោង ៦អា មួយចំនួនបន្តអញ្ជើញមកស្វែងរកដំណោះស្រាយ និងបញ្ចប់ដោយស្នាមញញឹម និងឈ្នះឈ្នះទាំងអស់គ្នា។ ទន្ទឹមគ្នានោះបុរីក៏បន្តបង្ហាញឆន្ទៈប្រកាន់ជំហរឈរលើគោលការណ៍ដោះស្រាយមិនឲ្យអតិថិជនខាតបង់អត្ថប្រយោជន៍ឡើយ។
ជាមួយនឹងការសម្រេចបាននូវវឌ្ឍនភាពថ្មីៗក្នុងការដោះស្រាយជូនអតិថិជន, បុរីក៏សូមអរគុណដល់ក្រសួងរៀបចំដែនដី នគរូបនីយកម្ម និងសំណង់ ព្រមទាំងអាជ្ញាធរគ្រប់ជាន់ថ្នាក់ ដែលបានជួយសម្របសម្រួលប្លង់ជូនអតិថិជនបុរីឡេង ណាវ៉ាត្រា ស្របពេលបច្ចុប្បន្នក្រុមការងារបុរីក៏កំពុងតែទាក់ទងអតិថិជន ដើម្បីធ្វើការដោះស្រាយបញ្ចប់ជាបន្តបន្ទាប់។
បុរី ឡេង ណាវ៉ាត្រា ក៏បានបញ្ជាក់ពីការស្វែងរកដំណោះស្រាយជាបន្តបន្ទាប់ ក្រោមការសម្របសម្រួលរបស់ក្រសួងរៀបចំដែនដី អាជ្ញាធរពាក់ព័ន្ធ ដើម្បីបន្ដសកម្មភាពការចាក់ដី ការសាងសង់ និងការប្រគល់ប្លង់ រហូតបញ្ចប់គម្រោងទាំងស្រុង៕











































